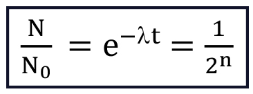
สรุปสูตร - ฟิสิกส์ ฟิสิกส์อะตอม และ ฟิสิกส์นิวเคลียร์ ฟิสิกส์อะตอม Thompson : ของ Electron Millikan : qE = mg หยดน้ำมัน Bohr : Planck : E = nhf Photoelectric : eVs = hf – W de Broglie : Heisenberg : ฟิสิกส์นิวเคลียร์ รังสี : γ เป็นคลื่นแม่เหล็กไฟฟ้า กัมมันตภาพ : ครึ่งชีวิต : Einstein : E = mc2 แรงยึดเหนี่ยวระหว่างมวล = Δm x 931 MeV TAG:TCAS, เรียนออนไลน์, เรียนTCAS, เรียนพิเศษTCAS, ติวสอบแพทย์, ติวเข้าแพทย์, ติวสอบหมอ, ติวเข้าหมอ, ติวโอเน็ต, ติวสอบonet, ติว9วิชาสามัญ, เรียนฟิสิกส์, เรียนพิเศษฟิสิกส์, ติวฟิสิกส์ออนไลน์, สอนฟิสิกส์ออนไลน์, ติวเตอร์ฟิสิกส์ออนไลน์, คอร์สติวpat2, คอร์สpat2, ฟิสิกส์ออนไลน์, ฟิสิกส์, สรุปสูตร, สรุปสูตรฟิสิกส์ กลับไปหน้าบทความหลัก กลับไปหน้าสรุปสูตร