PANYA SOCIETY
ธรรมชาติและพัฒนาการทางฟิสิกส์
สรุปเนื้อหาที่สำคัญ
เดินทางมาสู่บทที่ 1 ของฟิสิกส์ ม. 4 เทอม 1 “ธรรมชาติและพัฒนาการทางฟิสิกส์” ซึ่งนับว่าเป็นบทสำคัญอย่างยิ่ง เพราะเป็นพื้นฐานที่สำคัญในการเรียนบทต่อ ๆ ไป ในวิชาฟิสิกส์ ม. ปลาย และในสถิติข้อสอบ TCAS สัดส่วนการออกข้อสอบบทนี้ในปีที่ผ่าน ๆ มา ของข้อสอบ 9 วิชาสามัญ พบความถี่ในการออกข้อสอบโดยเฉลี่ยประมาณ 1 ข้อในทุกปี
นับว่าบทเรียนฟิสิกส์ ม.4 เทอม 1 เรื่อง “ธรรมชาติและพัฒนาการทางฟิสิกส์” มีความสำคัญอย่างยิ่งที่น้อง ๆ จะต้องทำความเข้าใจเนื้อหาโดยละเอียด และอัดพื้นฐานของบทนี้ให้แน่น เพื่อพร้อมรับมือกับการทำข้อสอบที่มีความหลากหลาย และควรฝึกทำโจทย์ที่ประยุกต์หลายบทเข้าไว้ด้วยกัน ที่มีเนื้อหาร่วมกับบทนี้
อย่างที่กล่าวข้างต้น ธรรมชาติและพัฒนาการทางฟิสิกส์ ออกข้อสอบทุกปี ดังนั้น น้อง ๆ ก็ควรใช้เป็นข้อที่ทำคะแนนอย่างยิ่ง เพื่อให้การอ่านหนังสือเตรียมสอบเข้ามหาวิทยาลัยคุ้มค่าที่สุด
ธรรมชาติและพัฒนาการทางฟิสิกส์ มีหน่วยย่อย ดังนี้
- กระบวนการทางวิทยาศาสตร์
- การวัดเชิงฟิสิกส์
- การวัดและเลขนัยสำคัญ
- ค่าความคลาดเคลื่อน
- ทักษะทางวิทยาศาสตร์
- ปริมาณเวกเตอร์
- หน่วยของการวัด
- การบันทึกผลการทดลอง
กระบวนการทางวิทยาศาสตร์
กระบวนการทางวิทยาศาสตร์ มีทั้งหมด 5 ขั้นตอน ดังนี้
1. สังเกต, ตั้งคำถาม
2. ตั้งสมมุติฐาน
– ตั้งให้เข้าใจได้ง่าย
– มีแนวทางในการตรวจสอบได้
– ตรวจสอบได้ด้วยการทดลอง
– สอดคล้อง, อยู่ในขอบเขตของปัญหาที่เราตั้ง
3. การทดลอง
– กำหนดตัวแปรต้น
– กำหนดตัวแปรตาม
– กำหนดตัวแปรควบคุม
4. วิเคราะห์ผล
5. สรุปผลการทดลอง
การวัดเชิงฟิสิกส์
การวัดจะสามารถทำได้โดยใช้เครื่องมือวัดต่าง ๆ แต่การอ่านค่าที่ได้จากเครื่องมือจะมีหลักการในการดูดังนี้
1) อ่านค่าจากเครื่องมือตามความละเอียดของเครื่องมือ
2) ประมาณตัวเลขเพิ่มความละเอียดจากเครื่องมือเพิ่มอีก 1 หลักตามความสามารถของผู้อ่านค่า
เช่น

– อ่านค่าจากเครื่องมือได้ประมาณ 52 กว่า ๆ
– ประมาณตัวเลขเพิ่มความละเอียดอีกหนึ่งหลัก อาจเป็น 52.1, 52.2, 52.3, 52.4 หรือ 52.x ก็ได้
ดังนั้น จะตอบค่าใด อยู่ที่การประมาณของผู้อ่านค่า
การวัดและเลขนัยสำคัญ
หลักการในการนับเลขนัยสำคัญ
1. ตัวเลข 1-9 นับเป็นนัยสำคัญหมด
2. เลข 0 หน้าเลขอื่นไม่นับ
3. เลข 0 ที่อยู่ระหว่างเลขอื่นและอยู่หลังเลขอื่นนับด้วย
4. เลข 0 ที่อยู่หลังเลขอื่นและไม่มีจุดทศนิยมจะกำกวม ให้ทำเป็นสัญกรณ์วิทยาศาสตร์เพื่อให้ชัดเจน
เช่น 120 ทำให้มีเลขนัยสำคัญ 3 ตัวได้ = 1.20 × 102
ทำให้มีเลขนัยสำคัญ 2 ตัวได้ = 1.2 × 102
การดำเนินการของนัยสำคัญ
หลักการบวก และการลบ
1. บวก, ลบกันธรรมดา
2. คำตอบจะมี ทศนิยม เท่ากับตัวเลขที่มี ทศนิยมน้อยสุด ของเลขที่นำมาบวกหรือลบกัน
3. การปัดเลข ถ้าเป็นเลข 5 ขึ้นไป ให้ปัดขึ้น ถ้าน้อยกว่า 5 ให้ปัดทิ้ง
เช่น 51.43 + 2.0 = ?
51.43 + 2.0 = 53.43
ตัวที่มีทศนิยมน้อยสุดคือ 2.0 มีทศนิยม 1 ตำแหน่ง ดังนั้นคำตอบต้องมีทศนิยม 1 ตำแหน่งเช่นกัน
ตอบ 53.4 (เลข 3 โดนปัดทิ้ง)
หลักการคูณ และการหาร
1. คูณ, หารกันธรรมดา
2. คำตอบจะมีจำนวน เลขนัยสำคัญ เท่ากับตัวเลขที่มี นัยสำคัญน้อยสุด ของตัวเลขที่นำมาคูณหรือหารกัน
3. การปัดเลข ถ้าเป็นเลข 5 ขึ้นไป ให้ปัดขึ้น ถ้าน้อยกว่า 5 ให้ปัดทิ้ง
เช่น 27.5 × 2.0 = ?
27.5 × 2.0 = 55.00
27.5 มีนัยสำคัญ 3 ตัว
2.0 มีนัยสำคัญ 2 ตัว (น้อยสุด)
คำตอบต้องมีนัยสำคัญ 2 ตัว
ตอบ 55
สัญกรณ์วิทยาศาสตร์
คือ การเขียนจำนวนใด ๆ ในรูป A × 10n โดยที่ 1 ≤ A < 10 และ n เป็นจำนวนเต็ม
มีหลักการเขียน 2 แบบ
- เลื่อนจุดทศนิยมไปทางซ้าย แล้วเลื่อนจุดไปกี่ตำแหน่ง ให้คูณ 10จำนวนตำแหน่งที่เลื่อนไป เพิ่มไป
- เลื่อนจุดทศนิยมไปทางขวา แล้วเลื่อนจุดไปกี่ตำแหน่ง ให้คูณ 10-(จำนวนตำแหน่งที่เลื่อนไป) เพิ่มไป
เช่น 102.1 × 10-6 เขียนเป็นสัญกรณ์วิทยาศาสตร์ได้ โดย
เลื่อนจุดทศนิยมไปทางซ้าย 2 ตำแหน่ง แล้วคูณด้วย 102 เพิ่มไป
= 1.021 × 10-6 × 102 = 1.021 × 10-4
0.5831 เขียนเป็นสัญกรณ์วิทยาศาสตร์ได้ โดย
เลื่อนจุดทศนิยมไปทางขวา 1 ตำแหน่ง แล้วคูณด้วย 10-1 เพิ่มไป
= 5.831 × 10-1
ค่าความคลาดเคลื่อน
คือ ผลต่างระหว่างค่าที่วัดได้กับค่าที่แท้จริง ซึ่งโดยปกติค่าที่แท้จริงจะวัดได้ยาก จึงต้องหาค่าที่ใกล้เคียงกับค่าที่แท้จริง โดยวัดหลาย ๆ ครั้ง แล้วหาค่าเฉลี่ย และค่าความคลาดเคลื่อน

การคำนวณจำนวนที่มีค่าคลาดเคลื่อน

ทักษะทางวิทยาศาสตร์
ทักษะขั้นมูลฐาน
- การสังเกต
- การวัด
- การจำแนก, จัดประเภท
- ความสัมพันธ์ระหว่าง space และเวลา
- การคำนวณ, การใช้จำนวน
- การสื่อความหมายข้อมูล
- การลงความเห็นจากข้อมูล
- การพยากรณ์
ทักษะขั้นสูง
- การตั้งสมมุติฐาน
- การควบคุมตัวแปร
- การตีความหมาย และลงข้อสรุป
- การกำหนดนิยามเชิงปฏิบัติการ
- การทดลอง
ปริมาณเชิงเวกเตอร์
Vector (เวกเตอร์)
คือ ปริมาณที่ต้องบอกทั้งขนาด และทิศทางถึงจะรู้เรื่อง
เช่น เลื่อนโต๊ะไปทางซ้าย 5 m, วิ่งไปทางขวา 10 m เป็นต้น
การรวมเวกเตอร์
เนื่องจากเวกเตอร์มีทั้งขนาด และทิศทาง การรวมจึงไม่เหมือนการรวมเลขธรรมดา
กรณีที่ 1 เวกเตอร์อยู่ในแนวเดียวกัน
สามารถใช้เทคนิคในการบวกลบแบบรรมดาได้ ด้วยการกำหนดทิศของ Vectorเป็นเครื่องหมายบวกหรือลบ
– ทิศเดียวกันนำขนาดมาบวกกัน ทิศมีทิศเดิม
– ทิศตรงข้ามกันนำขนาดมาลบกัน ทิศไปทางทิศที่มีขนาดเยอะกว่า
เช่น

กรณีที่ 2 เวกเตอร์ไม่ได้อยู่ในแนวเดียวกัน
1.) ทั้ง 2 เวกเตอร์ตั้งฉากกัน หาเวกเตอร์ลัพธ์ได้จาก
![]()
2.) ทั้ง 2 เวกเตอร์ทำมุมไม่ตั้งฉากกัน หาเวกเตอร์ลัพธ์ได้จาก

การหาทิศของเวกเตอร์ลัพธ์


หน่วยของการวัด
หน่วยมูลฐาน (SI)
คือ หน่วยของปริมาณที่นักวิทยาศาสตร์ตกลงกันให้เป็นปริมาณพื้นฐานที่ใช้นำไปหาปริมาณอื่น ๆ
หน่วยมูลฐานมีอยู่ 7 ปริมาณ ดังนี้
- ความยาว หน่วยเป็น เมตร (m)
- มวล หน่วยเป็น กิโลกรัม (kg)
- เวลา หน่วยเป็น วินาที (s)
- กระแสไฟฟ้า หน่วยเป็น แอมแปร์ (A)
- อุณหภูมิ หน่วยเป็น เคลวิน (K)
- ปริมาณสาร หน่วยเป็น โมล (mol)
- ความเข้มของการส่องสว่าง หน่วยเป็น แคนเดลา (cd)
หน่วยอนุพันธ์
คือ หน่วยที่เกิดจากการนำหน่วยมูลฐานมากระทำกัน
เช่น – ปริมาตร = กว้าง × ยาว × สูง
มีหน่วยเป็น ความยาว × ความยาว × ความยาว = m3
– ความเร็ว มีหน่วยเป็น km/hr
หรือถ้าจะให้เป็นหน่วย SI ก็จะมีหน่วยเป็น ความยาว/เวลา = m/s
คำนำหน้าหน่วย (Prefix)
คือ คำที่นำมาใส่ลงไปหน้าหน่วยของสิ่งต่าง ๆ เพื่อให้สะดวกในการพูดถึงค่าของสิ่งนั้น
คำนำหน้าหน่วยที่ควรรู้
p = 10-12
n = 10-9
µ = 10-6
m = 10-3
c = 10-2
d = 10-1
k = 103
M = 106
G = 109
T = 1012
การแปลงหน่วย
- คูณด้วยสัดส่วนที่เท่ากันทั้งเศษ และส่วนของแต่ละหน่วย
- หน่วยที่ต้องการหา ให้เป็น “เศษ”
เช่น

การบันทึกผลการทดลอง
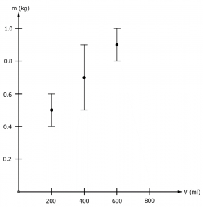
การบันทึกผลการทดลองโดยใช้กราฟเพื่อดูความสัมพันธ์ของสิ่งที่เราทดลองได้อย่างชัดเจนขึ้น
สมมติการทดลองหนึ่ง
ใส่น้ำลงไปในบีกเกอร์ 200 ml , 400 ml , 600 ml นำไปชั่งจะได้มวลเฉลี่ย (รวมบีกเกอร์)
จากการชั่ง 5 รอบ ได้มวลเฉลี่ย 0.5 kg , 0.7 kg , 0.9 kg ตามลำดับ
และได้ค่าความคลาดเคลื่อน 0.1 , 0.2 , 0.1 ตามลำดับ
นำค่าเหล่านี้มาใส่ในกราฟ
โดยทั่วไปจะกำหนดให้ แกน x คือ สิ่งที่เราควบคุมได้ ในที่นี้คือ ปริมาตร
แกน y คือ สิ่งที่ควบคุมไม่ได้ คือ มวล
จะได้กราฟดังนี้

จากกราฟ คล้ายสมการเส้นตรง จึงอาจใช้สมการ y = mx + c ในการหาความสัมพันธ์
คุยกันท้ายบท
จะเห็นได้ว่า “ธรรมชาติและพัฒนาการทางฟิสิกส์” ในฟิสิกส์ ม.4 เทอม 1 เป็นพื้นฐานในการเรียนวิชาฟิสิกส์ ซึ่งถ้าน้องคนไหน ไม่มีความรู้ความเข้าใจที่แท้จริงก็จะยิ่งสร้างปมปัญหาต่อมาถึงบทถัดไป ดังนั้น ควรทบทวน “ธรรมชาติและพัฒนาการทางฟิสิกส์” ให้คล่องที่สุด
ที่สำคัญคือ อย่าลืมฝึกทำโจทย์บ่อย ๆ และใช้เวลาว่างบนหน้าเว็บไซต์ของ Panya Society ลองฝึกทำโจทย์ที่พี่ให้ไว้ หรือเข้าไปชมตัวอย่างวิดีโอการสอนต่าง ๆ พร้อมคิดคำนวณตามไปด้วย เพื่อให้ได้ประโยชน์จากการทบทวนความรู้ครับ แล้วพบกันในบทต่อไป เข้มข้นยิ่งขึ้นกับ “การเคลื่อนที่แนวตรง” มีรูปแบบการคิดแบบใหม่ สนุกแน่นอนครับผม 🙂
พี่หวังว่า น้อง ๆ จะสนุกกับการเรียนฟิสิกส์ ม.4 เทอม 1 ไปตลอดทั้งเทอม ขอให้น้อง ๆ ประสบความสำเร็จในการเรียน ได้เกรดดังหวัง คะแนนปังทุกคนเลยครับ แวะไปชมเนื้อหาบทต่อไปของฟิสิกส์ ม.4 เทอม 1 กันด้วยนะ…อย่าเทพี่แชร์กลางทางนะครับ
- ปัจจุบันทำงานในบริษัท Start-up ด้านเทคโนโลยีหลายแห่ง
- อดีตเหรียญทองฟิสิกส์โอลิมปิก
- เคยทำงานที่บริษัท Oracle สหรัฐอเมริกา ซึ่งเป็นบริษัทซอฟต์แวร์ระดับ Top 5 ของโลก
- ผู้ร่วมก่อตั้งเว็บไซต์เด็กดีดอทคอม
